• Kunden aus Hessen und Nordrhein-Westfalen können über die Rufnummer 0221 / 466 191 00 Hilfe bei allen Problemen in Anspruch nehmen.
    Kunden aus Baden-Württemberg können über die Rufnummer 0711 / 54 888 150 Hilfe bei allen Problemen in Anspruch nehmen.

Unitymedia Technicolor TC4400 Docsis 3.1 Modem Info Thread

Diskutiere Technicolor TC4400 Docsis 3.1 Modem Info Thread im Internet und Telefon über das TV-Kabelnetz Forum im Bereich Internet und Telefon; Also kommst du gar nicht online? Denn DS-Lite ist ja auf dem IP-Layer ein IPv6-only-Anschluß.
  • Technicolor TC4400 Docsis 3.1 Modem Info Thread Beitrag #1.476
Also ich habe einen UM DS-Lite Anschluss und habe nach dem Wechsel zum TC4400 noch keine IPv6 Adresse zugewiesen bekommen.
Also kommst du gar nicht online? Denn DS-Lite ist ja auf dem IP-Layer ein IPv6-only-Anschluß.
 
  • Technicolor TC4400 Docsis 3.1 Modem Info Thread Beitrag #1.477
Also kommst du gar nicht online? Denn DS-Lite ist ja auf dem IP-Layer ein IPv6-only-Anschluß.

Korrekt, kein Internet ueber UM / TC4400 bei mir im Moment. Zur Not geh ich zurueck zur Connect Box und gebe das Modem weiter.
 
  • Technicolor TC4400 Docsis 3.1 Modem Info Thread Beitrag #1.478
Provisionierung des TC4400 war letzten Freitag, habe mit pfSense, LEDE 17.01.4 und einem Debian System getestet. Hab ein/zwei dumps gelesen und keine Antwort vom dhcp Server finden koennen.

Selbst die Fritzbox hinter dem Modem hat bei mir eine ganze Weile keine Antwort vom DHCPv6 Server bekommen.
 
  • Technicolor TC4400 Docsis 3.1 Modem Info Thread Beitrag #1.479
Kann mir jemand bei der Interpretation meiner Modemwerte helfen?

UM hat mir vor Jahren den Anschluss eingerichtet und dabei einen 6db Dämpfer vor das Modem geschraubt.
Da mein Upstream, welcher laut diesem Forum bei max 50 dBmV liegen soll, dadurch allerdings bei 51 dBmV lag,
habe ich mir einen Dämpfer mit 3db besorgt.

Welcher Dämpfer bringt das besserer Ergebnis? Meiner Meinung nach der 3db, oder übersehe ich etwas?
Beide Screenshot wurden erstellt, nachdem das Modem mehrere Tage lief.

3db
5zoE5eN.png


6db
q6UBh0V.png
 
  • Technicolor TC4400 Docsis 3.1 Modem Info Thread Beitrag #1.481
Jop der 3db ist der Bessere. Interessant dass auch bei Dir der 530 MHz schlecht ist. Hoffentlich bekommst Du nicht auch den 522 MHz dazu geschaltet. Bei mir sieht es nach einer Woche nun so aus:
 

Anhänge

  • 522mhzerr2.jpg
    522mhzerr2.jpg
    200,3 KB · Aufrufe: 762
  • Technicolor TC4400 Docsis 3.1 Modem Info Thread Beitrag #1.483
Nicht schlecht bis auf den einen Channel. Ich hab überall über 200 korrigierbar und über 1000 nicht korrigierbare Fehler nach nur 10Tagen.

Gesendet von meinem Pixel 2 XL mit Tapatalk
 
  • Technicolor TC4400 Docsis 3.1 Modem Info Thread Beitrag #1.485
Hattest Du etwa Packetloss? :zunge:
 
  • Technicolor TC4400 Docsis 3.1 Modem Info Thread Beitrag #1.487
Was kann man denn gegen schlechte Werte bei 530mhz machen?
 
  • Technicolor TC4400 Docsis 3.1 Modem Info Thread Beitrag #1.488
Leider so gut wie nix! Das sind die typischen Frequenzen auf denen DVB-T einstrahlt und meist das gesamte Segment betreffen. Ideal wäre natürlich ein Sperrfilter für genau diese Frequenzen :kratz:
 
  • Technicolor TC4400 Docsis 3.1 Modem Info Thread Beitrag #1.489
Leider so gut wie nix! Das sind die typischen Frequenzen auf denen DVB-T einstrahlt und meist das gesamte Segment betreffen.
Dann frage ich mich nur, warum es dieses Problem vor der grossen Umsortierung der Kanäle nicht gab, da waren die Kanäle 530 und 522 MHz bei mir absolut sauber, keine unkorrigierbaren Fehler.
 
  • Technicolor TC4400 Docsis 3.1 Modem Info Thread Beitrag #1.490
Also bei mir sind die Upstreamwerte heute plötzlich wieder besser geworden. Ohne jede Aktion meinerseits. Vorher 52dBmV und nun so bei 45dBmV und damit wieder im grünen Bereich. Das Modem bleibt nun auch deutlich kühler

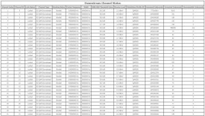
Interessant ist wirklich die Häufung der nichtkorrigierbaren Fehler auf 522 und 530 MHz bei einigen Leuten hier. Das kann doch kein Zufall sein. DVB-T2 gibt es hier bei uns auf diesen Kanälen jedenfalls nicht. Bei mir erhöhen die sich nur in der Primetime. Hier mal meine Werte nach 6 Tagen online.
 

Anhänge

  • connection2.png
    connection2.png
    405,5 KB · Aufrufe: 652
  • Technicolor TC4400 Docsis 3.1 Modem Info Thread Beitrag #1.491
Also bei mir sind die Upstreamwerte heute plötzlich wieder besser geworden. Ohne jede Aktion meinerseits. Vorher 52dBmV und nun so bei 45dBmV und damit wieder im grünen Bereich. Das Modem bleibt nun auch deutlich kühler
War vermutlich eine Einstrahlung, die jetzt nicht mehr vorhanden ist.
Interessant ist wirklich die Häufung der nichtkorrigierbaren Fehler auf 522 und 530 MHz bei einigen Leuten hier. Das kann doch kein Zufall sein. DVB-T2 gibt es hier bei uns auf diesen jedenfalls Kanälen nicht.
Wird wohl ein Geheimnis bleiben, obwohl ich denke, dass UM den Grund dafür schon ganz genau kennt, nur haben die keine Lösung. Da, wo es richtig schlimm ist, werden die beiden Kanäle einfach deaktiviert (wie es in meinem Bereich geschehen ist).
 
  • Technicolor TC4400 Docsis 3.1 Modem Info Thread Beitrag #1.492
Ich denke dass sich irgendwas an der Hardware geändert hat und somit diese Einstrahlung nun begünstigt. Mein TC4400 ist im Übrigen auch sehr warm (48°C) trotz Lüfter dahinter.
 
  • Technicolor TC4400 Docsis 3.1 Modem Info Thread Beitrag #1.493
Hast du an deinem TC4400 die Temperatur gemessen? Oder hat das Modem was eingebaut?

Mein US läuft auch bei 49dbmv und steigt. Hier läuft garnix mehr rund

Gesendet von meinem Pixel 2 XL mit Tapatalk
 
  • Technicolor TC4400 Docsis 3.1 Modem Info Thread Beitrag #1.494
Mein TC4400 ist im Übrigen auch sehr warm (48°C) trotz Lüfter dahinter.
Kann ich nicht bestätigen, wo hast Du denn gemessen :kratz:


Edit: Gehäuse zwischen 20 - 30 Grad, je nach Messpunkt.

Wärmste Stelle auf der Platine liegt bei 48 Grad
 
  • Technicolor TC4400 Docsis 3.1 Modem Info Thread Beitrag #1.495
Einfach die Oberfläche.
 

Anhänge

  • IMG_8406.JPG
    IMG_8406.JPG
    157,1 KB · Aufrufe: 610
  • Technicolor TC4400 Docsis 3.1 Modem Info Thread Beitrag #1.496
Einfach die Oberfläche.
Du nutzt ja das selbe Messgerät :D
Ja, an der Stelle sind es bei mir auch 48 Grad.
Das ist aber nicht das Gehäuse, Du misst ja durch die Lüftungslöcher hindurch bis auf die Platine.
 
  • Technicolor TC4400 Docsis 3.1 Modem Info Thread Beitrag #1.497
Glaube ich nicht bei der Auflösung des Messgeräts. Aber selbst wenn, mit der Hand hat das Gehäuse ebenfalls mindestens 40 Grad. Raumtemperatur 23 Grad. Ich vermute dass es ordentlich arbeiten muss bei den vielen Fehlern. Allein deshalb sollte der Anschluss doch schon sauber laufen. Ich habe hier bereits vor Tagen einen Thread eröffnet, leider konnte mir auch der angebliche Level 2 Support am Telefon nicht helfen: https://community.unitymedia.de/questions/522-mhz-gestoert
 
  • Technicolor TC4400 Docsis 3.1 Modem Info Thread Beitrag #1.499
Gut, dann läuft meins ja doch noch relativ "kühl" :D
 
  • Technicolor TC4400 Docsis 3.1 Modem Info Thread Beitrag #1.500
Kann mir jemand kurz erklaeren was unter Modem WAN IP gemeint ist. Wenn ich das Modem starte pingt es auf der 192.168.100.1 nach dem Sync mit UM ist diese Adresse dann weg. Jetzt ist hier die Rede von Modem WebInterface auf WAN Adresse erreichbar. Ich dachte das Modem ist transparent und die WAN Adresse erhaellt die WAN Schnittstelle des Routers per DHCP? Dort laeuft aber doch bestimmt nicht das WebInterface des Modems. Ich bin verwirrt.
 
Thema:

Technicolor TC4400 Docsis 3.1 Modem Info Thread

Technicolor TC4400 Docsis 3.1 Modem Info Thread - Ähnliche Themen

Netgear CM2000 (US Modem): Dank DOCSIS 3.1 und dem dortigen Wegfall der Unterscheidung zwischen DOCSIS und EuroDOCSIS sind einige Modems aus den USA durchaus im Vodafone...
Unitymedia Technicolor CGA4233 Docsis 3.1 Router Info Tread: Wie auch schon bei TC4400 dient dieser Thread zum Sammeln von Informationen zum Technicolor CGA4233. Default login: user / VTmgQapcEUaE Link zum...
Unitymedia Kabelmodem Arris CM8200B: Moin, Das Arris CM8200B wurde hier schon gelegentlich erwähnt, aber nie vertiefend. Da bei mir seit ein paar Tagen eines herumsteht starte ich...
Unitymedia Cisco EPC3208 verliert immer Verbindung -> Vodafone Station als Lösung? (DOCSIS 3.1 schuld?): Nabend! Ich habe seit 25.11. plötzlich ein massives Problem mit meinem Anschluß, und könnte etwas Aufklärung von Insidern brauchen bevor ich zur...
Unitymedia [Q] Probleme mit Bridge Network Model Virtualisierungsserver: Hallo! Ich habe eine Virtualisierungsplattform mit Web-Oberfläche (Proxmox VE 3.3) aufgesetzt und den Server direkt mit dem Kabel-Gateway TC7200...
Oben