• Kunden aus Hessen und Nordrhein-Westfalen können über die Rufnummer 0221 / 466 191 00 Hilfe bei allen Problemen in Anspruch nehmen.
    Kunden aus Baden-Württemberg können über die Rufnummer 0711 / 54 888 150 Hilfe bei allen Problemen in Anspruch nehmen.

Unitymedia Technicolor TC4400 Docsis 3.1 Modem Info Thread

Diskutiere Technicolor TC4400 Docsis 3.1 Modem Info Thread im Internet und Telefon über das TV-Kabelnetz Forum im Bereich Internet und Telefon; Keine Sorge, bei den Pegeln stimmt etwas nicht. Die Hotline kann immer das Modem als ok durchmessen, selbst wenn das Coaxkabel gar nicht...
  • Technicolor TC4400 Docsis 3.1 Modem Info Thread Beitrag #1.726
Keine Sorge, bei den Pegeln stimmt etwas nicht. Die Hotline kann immer das Modem als ok durchmessen, selbst wenn das Coaxkabel gar nicht angeschlossen ist ;) Die .20 Firmware zeigt im Übrigen so einen Pegel wie bei Kanal 32 nicht an, das ist bei ihm definitiv etwas Anderes. Der Docsis 3.1 Verdacht liegt aber nahe. Mach doch mal ein Spectrumanalyzer Screenshot, vielleicht sieht man da ja was bzgl. Frequenzen.
 
  • Technicolor TC4400 Docsis 3.1 Modem Info Thread Beitrag #1.727
Keine Sorge, bei den Pegeln stimmt etwas nicht. Die Hotline kann immer das Modem als ok durchmessen, selbst wenn das Coaxkabel gar nicht angeschlossen ist ;) Die .20 Firmware zeigt im Übrigen so einen Pegel wie bei Kanal 32 nicht an, das ist bei ihm definitiv etwas Anderes. Der Docsis 3.1 Verdacht liegt aber nahe. Mach doch mal ein Spectrumanalyzer Screenshot, vielleicht sieht man da ja was bzgl. Frequenzen.

Dann bin ich beruhigt und warte mal ab, was passiert ;-)

Hier der Screenshot. Hoffe das ist der Richtige!
 

Anhänge

  • spectrum.jpeg
    spectrum.jpeg
    118,5 KB · Aufrufe: 1.932
  • Technicolor TC4400 Docsis 3.1 Modem Info Thread Beitrag #1.728
Ja ist es. Sieht aber ganz normal aus, danke.
 
  • Technicolor TC4400 Docsis 3.1 Modem Info Thread Beitrag #1.729
Ja ist es. Sieht aber ganz normal aus, danke.
Ich habe zu danken :) Gibt es irgendwo eine (offizielle Unitymedia) Quelle, die Aufschluss über die Soll-Werte der Pegel gibt? Würde die Argumentation bei einem Technikerbesuch ja enorm vereinfachen wenn nachweislich der Pegel falsch ist. Es wird doch sicher Vorgaben von Unitymedia für die Service-Firmen geben, welche Pegel anliegen müssen?
 
  • Technicolor TC4400 Docsis 3.1 Modem Info Thread Beitrag #1.730
Ja die gibt es. In Deinem Fall liegst Du klar Out of Range, das kann sogar die Hotline sehen (wenn sie will).
 
  • Technicolor TC4400 Docsis 3.1 Modem Info Thread Beitrag #1.731
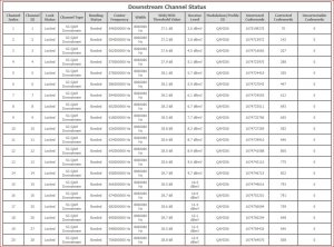
Ähm, wo genau kann ich nachgucken welches Modulation Profile ich habe? Im UI habe ich nichts gefunden oder habe ich's nur übersehen?

Tabelle "Upstream Channel Status", Spalte "Modulation/Profile ID"

file.php

Hmm, da wird bei mir aber keine 2 bzw. 3 angezeigt. In der Spalte steht überall "ATDMA". Worauf könnte das hindeuten?
 
  • Technicolor TC4400 Docsis 3.1 Modem Info Thread Beitrag #1.732
Ist zwar halb OT und trägt nichts zur Diskussion bei:
Bin gerade hier drüber gestolpert und musste schmunzeln.
Cisco Systems and Unitymedia GmbH presented on their respective booth, a live DOCSIS 3.1 demonstration using Technicolor’s cable modems. Based on Technicolor’s TC4400 modem and Cisco’s CBR8 CMTS, the live DOCSIS 3.1 speed test presented up to 2 Gbit/s downstream throughout the demonstrations. Journalists and visitors arrived in force at Unity Media’s booth to experience the future of surfing and streaming at Gigabit speeds.
Quelle:
Wir wissen ja jetzt dass die Geschichte anders ausgegangen ist. Die Connectbox v2 kommt nicht von Technicolor sondern von Arris - Das TC7200 hat wohl zu tiefe Wunden hinterlassen^^
 
  • Technicolor TC4400 Docsis 3.1 Modem Info Thread Beitrag #1.733
Demnach ist UM das TC4400 schon lange als D3.1 Modem bekannt. Dennoch hat man nicht mal die Firmware dafür, traurig. Interessant dass dort auch Normann Engineering genannt wird. Was mir aber schon länger auffällt ist dass das TC4400 nirgends mehr auf der Technicolor Seite zu finden ist. Auch keine Datenblätter mehr, nichts :kratz:
 
  • Technicolor TC4400 Docsis 3.1 Modem Info Thread Beitrag #1.734
Was mir aber schon länger auffällt ist dass das TC4400 nirgends mehr auf der Technicolor Seite zu finden ist.
Vielleicht haben ja die deutschen KNB´s dafür gesorgt, dass das TC4400 eingestampft wird :D
 
  • Technicolor TC4400 Docsis 3.1 Modem Info Thread Beitrag #1.735
TC hat seine Seite, was Übersichtlichkeit betrifft...gegen die Wand gefahren. Ich finde gar keine Geräte mehr.
 
  • Technicolor TC4400 Docsis 3.1 Modem Info Thread Beitrag #1.736
Ähm, wo genau kann ich nachgucken welches Modulation Profile ich habe? Im UI habe ich nichts gefunden oder habe ich's nur übersehen?

Tabelle "Upstream Channel Status", Spalte "Modulation/Profile ID"

file.php

Hmm, da wird bei mir aber keine 2 bzw. 3 angezeigt. In der Spalte steht überall "ATDMA". Worauf könnte das hindeuten?

Kann ja sein, dass der von mir verlinkte Screenshot bei einem TC4400 mit einem anderen Firmware-Stand gemacht wurde ... habe hier aus dem Thread einfach die URL zum Screenshot eines anderen Users kopiert ...
 
  • Technicolor TC4400 Docsis 3.1 Modem Info Thread Beitrag #1.737
  • Technicolor TC4400 Docsis 3.1 Modem Info Thread Beitrag #1.738
Was mir aber schon länger auffällt ist dass das TC4400 nirgends mehr auf der Technicolor Seite zu finden ist.
Vielleicht haben ja die deutschen KNB´s dafür gesorgt, dass das TC4400 eingestampft wird :D

Bezweifle ich stark, wird doch offiziell von VF Neuseeland ebenfalls an die Kunden verteilt.
Dafür ist der Einfluss der deutschen KNBs viel zu gering (s. DOCSIS Spezifikationen).
 
  • Technicolor TC4400 Docsis 3.1 Modem Info Thread Beitrag #1.739
Nach Umstellung von 120/6 auf 400/40 erreiche ich in Speedtests (zu Abendstunden ausgeführt) leider nicht den gewünschten Speed. Ich habe Messungen direkt am Modem, hinterm Router und hinterm Switch gemacht und der Down liegt zwischen 80 und 330 mbit. Bevor ich nun bei der Hotline anrufe, würde ich mich freuen, es könnte mal jemand über die im TC4400 angezeigte Werte schauen und sie kommentieren. Danke!

Btw, kann man am 2. LAN Port des TC4400 ein Gerät betreiben während der andere Port am Router aktiv ist?

Anbei die Werte.
 

Anhänge

  • up.JPG
    up.JPG
    51,2 KB · Aufrufe: 1.180
  • down.JPG
    down.JPG
    177,9 KB · Aufrufe: 1.180
  • Technicolor TC4400 Docsis 3.1 Modem Info Thread Beitrag #1.740
Zu deinen Modem-Werten kann ich nicht viel sagen. Sorry!
Btw, kann man am 2. LAN Port des TC4400 ein Gerät betreiben während der andere Port am Router aktiv ist?
Das geht leider nicht.
Das TC ist ein reines Modem. Also ein Media-Konverter (mit ein paar zusätzlichen Funktionen) welcher die Brücke zwischen Coax und Ethernet schlägt. Die beiden LAN-Ports sind transparent auf den Coax-Anschluss durchgeschaltet, was bedeutet, dass du nur ein Gerät gleichzeitig anschließen kannst, da durch die UM DOCSIS Config nur eine MAC-Adresse und IP zugelassen wird. Würdest du beide Ports benutzen, würden bei UM zwei Geräte auftauchen und das wäre nicht zulässig.
Die beiden Ports sind eher für DOCSIS3.1 und Port-Trunking gedacht, damit du rechnerisch 2Gbit/s schaffst.
Dazu bräuchtest du aber einen Router, der diese Funktion unterstützt. Durch das Port-Trunking erscheint dann der Router am Modem als ein Gerät und "teilt" den Traffic auf beide Ports auf.
 
  • Technicolor TC4400 Docsis 3.1 Modem Info Thread Beitrag #1.741
Danke @tobsen für die Erklärung. Ich wollte eigentlich nur auf das WebUI des TC4400. Habe aber Glück, dass ich aus meinem privaten LAN auf die 192.168.100.1 geroutet werde. Dann klappt es auch so.
 
  • Technicolor TC4400 Docsis 3.1 Modem Info Thread Beitrag #1.742
Du kannst beide LAN Ports nutzen, musst dann aber mit dem zweiten Client die MAC des ersten spoofen.
 
  • Technicolor TC4400 Docsis 3.1 Modem Info Thread Beitrag #1.743
Was selbstverständlich kein legitimes Setup für den Dauerbetrieb ist, sondern höchsten für AP-Failover sinnvoll sein kann.
 
  • Technicolor TC4400 Docsis 3.1 Modem Info Thread Beitrag #1.744
Hallo zusammen,

ich habe seit heute mittag auf einmal einen massiven Einbruch im Upload festgestellt. Üblicherweise kamen hier immer 19 mbit an. Seit heute mittag erreiche ich maximal 8mbit im Upload wobei die Downgeschwindigkeit unverändert bei 400 liegt. Da ich leider keine Ahnung habe, wie ich die Modemwerte zu deuten habe, stelle ich mal einen Screenshot ein und bitte um Kommentare ob es an der Leitung liegen kann.

Gruß und Danke!
werte1.jpeg
werte2.jpeg

Soeben hat sich der Unitymedia-Techniker verabschiedet. Seiner Meinung nach hat das Tc 4400 einen anderen Widerstand. Er hat jetzt ein Rückkanaldämpfungsglied verbaut und die Werte scheinen jetzt besser zu sein. Upload liegt nun wieder bei 19 mbit ;-)

Danke an Alle, die hier geantwortet haben !
Gruß
 

Anhänge

  • test.jpeg
    test.jpeg
    54,6 KB · Aufrufe: 909
  • Technicolor TC4400 Docsis 3.1 Modem Info Thread Beitrag #1.745
Danke für die Hinweise bzgl. dem 2. LAN Port. Kann bitte noch jemand was zu meinen Werten im o.a. Screenshot sagen?

Nach der Meldung von @elarcel klingt es fast so, als bräuchte ich auch nen Technikertermin, denn den Download krieg ich einfach nicht nahe dem gebuchten Tarif.
Code:
$ wget --report-speed=bits -O /dev/null http://speedtest.belwue.net/1G
[....]
/dev/null 100%[===================================================>] 1.00G 218Mb/s in 44s

Der Test mag nicht repräsentativ sein. Entweder ist der Server limitiert oder mein Download, denn mehr als die 200+ Mb/s hab ich noch nicht erreicht heute im Laufe des Vormittags und das wären ja gerade mal die Hälfte der 400.
 
  • Technicolor TC4400 Docsis 3.1 Modem Info Thread Beitrag #1.746
  • Technicolor TC4400 Docsis 3.1 Modem Info Thread Beitrag #1.747
Also bei mir hat sich im Vergleich zum Cisco EPC3212 nichts an den Pegeln geändert. Ich vermute eher dass das TC4400 den gleichen Widerstand wie die Cisco Modems hat und nur die Fritten da anders sind (wenn überhaupt).
 
  • Technicolor TC4400 Docsis 3.1 Modem Info Thread Beitrag #1.748
Ich vermute eher dass das TC4400 den gleichen Widerstand wie die Cisco Modems hat und nur die Fritten da anders sind (wenn überhaupt).
Nö, überhaupt nicht, die Pegel im Vergleich zur Fritte haben sich beim TC4400, wenn überhaupt, nur minimal geändert. Auch ein anderes Docsis Modem wiest bei mir fast identische Pegel auf.
 
  • Technicolor TC4400 Docsis 3.1 Modem Info Thread Beitrag #1.749
Sorry, wenn ich damit drängel, aber bitte mal meine Pegelwerte in kommentieren. Danke.
 
  • Technicolor TC4400 Docsis 3.1 Modem Info Thread Beitrag #1.750
Thema:

Technicolor TC4400 Docsis 3.1 Modem Info Thread

Technicolor TC4400 Docsis 3.1 Modem Info Thread - Ähnliche Themen

Netgear CM2000 (US Modem): Dank DOCSIS 3.1 und dem dortigen Wegfall der Unterscheidung zwischen DOCSIS und EuroDOCSIS sind einige Modems aus den USA durchaus im Vodafone...
Unitymedia Technicolor CGA4233 Docsis 3.1 Router Info Tread: Wie auch schon bei TC4400 dient dieser Thread zum Sammeln von Informationen zum Technicolor CGA4233. Default login: user / VTmgQapcEUaE Link zum...
Unitymedia Kabelmodem Arris CM8200B: Moin, Das Arris CM8200B wurde hier schon gelegentlich erwähnt, aber nie vertiefend. Da bei mir seit ein paar Tagen eines herumsteht starte ich...
Unitymedia Cisco EPC3208 verliert immer Verbindung -> Vodafone Station als Lösung? (DOCSIS 3.1 schuld?): Nabend! Ich habe seit 25.11. plötzlich ein massives Problem mit meinem Anschluß, und könnte etwas Aufklärung von Insidern brauchen bevor ich zur...
Unitymedia [Q] Probleme mit Bridge Network Model Virtualisierungsserver: Hallo! Ich habe eine Virtualisierungsplattform mit Web-Oberfläche (Proxmox VE 3.3) aufgesetzt und den Server direkt mit dem Kabel-Gateway TC7200...
Oben