• Kunden aus Hessen und Nordrhein-Westfalen können über die Rufnummer 0221 / 466 191 00 Hilfe bei allen Problemen in Anspruch nehmen.
    Kunden aus Baden-Württemberg können über die Rufnummer 0711 / 54 888 150 Hilfe bei allen Problemen in Anspruch nehmen.

Unitymedia Technicolor TC4400 Docsis 3.1 Modem Info Thread

Diskutiere Technicolor TC4400 Docsis 3.1 Modem Info Thread im Internet und Telefon über das TV-Kabelnetz Forum im Bereich Internet und Telefon; Bei uns hier gehen die Channel IDs sogar bis 32. Davon werden aber auch nur irgendwie 8 genutzt. Bin ja Mal gespannt was passiert, wenn das...
  • Technicolor TC4400 Docsis 3.1 Modem Info Thread Beitrag #2.201
Ja, könntest du. Bei mir sind interessanterweise die Channel-IDs 9-16 zugewiesen. So als hätte das CMTS 16 Downstream-Kanäle, es werden aber nur 8 davon genutzt, weil zum Beispiel nicht genug Spektrum fürs Internet frei ist. Außerhalb von 638-702 MHz liegt nämlich sowohl darüber als auch darunter noch jedem Menge TV herum.

Theoretisch könnte man zwar mit IPO-Filter oberhalb der Filter-Schwelle noch 32 EuroDOCSIS-Downstream-Kanäle unterbringen (z. B. auf 598 bis 854 MHz). Aber dafür müßte dann Analog-TV weg und Sky & Konsorten nach unten verschoben werden.

Bei uns hier gehen die Channel IDs sogar bis 32. Davon werden aber auch nur irgendwie 8 genutzt. Bin ja Mal gespannt was passiert, wenn das Analoge TV bis Jahresende abgeschaltet werden soll bzw wird. Kopfstation soll eine von Arris mit 24 Channel Im Dezember ihren Betrieb aufnehmen und die mit 8 von Cisco ablösen...nächstes Jahre dann 3.1 (zumindest so ist der Plan) :brüll:
 
  • Technicolor TC4400 Docsis 3.1 Modem Info Thread Beitrag #2.202
Antwort von Vodafone auf Streitschlichtungsantrag: "Geht nüscht, update oder nutz' unser Kabelmodem"... wow.
Das ist bei Schlichtung aber auch zu erwarten, dass jede Seite ihre Sicht der Dinge darlegt. Der Schlichter entscheidet dann, welche Seite Recht hat, oder macht ggf. einen Kompromissvorschlag.

Ist denn die Schlichtung rechtlich bindend? Denn ansonsten nützt es ja selbst dann nichts, wenn die BNetzA Dir Recht gibt, VFKD das Schlichtungsergebnis aber nicht akzeptiert. Dann müsstest Du immer noch vor Gericht ziehen, um das Recht ggf. auch zu bekommen... Umgekehrt könntest Du dann aber immer noch vor Gericht ziehen, wenn die BNetzA VFKD Recht gibt.
 
  • Technicolor TC4400 Docsis 3.1 Modem Info Thread Beitrag #2.203
  • Technicolor TC4400 Docsis 3.1 Modem Info Thread Beitrag #2.204
Antwort von Vodafone auf Streitschlichtungsantrag: "Geht nüscht, update oder nutz' unser Kabelmodem"... wow.
Das ist bei Schlichtung aber auch zu erwarten, dass jede Seite ihre Sicht der Dinge darlegt. Der Schlichter entscheidet dann, welche Seite Recht hat, oder macht ggf. einen Kompromissvorschlag.

Ist denn die Schlichtung rechtlich bindend? Denn ansonsten nützt es ja selbst dann nichts, wenn die BNetzA Dir Recht gibt, VFKD das Schlichtungsergebnis aber nicht akzeptiert. Dann müsstest Du immer noch vor Gericht ziehen, um das Recht ggf. auch zu bekommen... Umgekehrt könntest Du dann aber immer noch vor Gericht ziehen, wenn die BNetzA VFKD Recht gibt.

Man ist an die Entscheidung rechtlich nicht gebunden, das steht auch in der Schlichtungsordnung, ich denke aber das ein Gericht eher der Entscheidung der BNA als unabhängigen Sachverständigen folgen wird.
 
  • Technicolor TC4400 Docsis 3.1 Modem Info Thread Beitrag #2.205
Ich würd es neu einpegeln lassen, wenn es mein Anschluss wäre.

So, beim 3. Anlauf im Chat hab ich nun endlich den Mitarbeiter dazu bewegen können, das Störungsticket zu öffnen und einen Technikertermin zu initiieren. Dann warte ich mal auf nen Anruf und melde mich dann mit den neuen Werten.

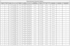
Heute war nun der Termin. Mit ner Handyapp konnte er schon draussen feststellen, dass die Werte nicht OK sind. Es wurden dann verschiedene Widerstände im Verstärker durchprobiert, bis die Handyapp mit grün die Werte als OK bestätigte. Auch er sagte, der vorherige Techniker hätte niemals so weggehen dürfen mit diesen Leitungswerten.

Im Modem siehts nun wie in den Bildern aus. Speedtest mit Laptop am Modem: 426 down / 40 up. Ich denke, das ist nun besser :hammer:
 

Anhänge

  • up.jpeg
    up.jpeg
    35,6 KB · Aufrufe: 1.576
  • down.jpeg
    down.jpeg
    149,6 KB · Aufrufe: 1.576
  • Technicolor TC4400 Docsis 3.1 Modem Info Thread Beitrag #2.206
Ich denke, das ist nun besser
Jo, der DS passt jetzt, dafür ist aber jetzt der US grenzwertig (49,5 dB), vorher hattest Du um die 46 dB.
Wenn es jetzt zu einer Einstrahlung kommt, bist du Ruck Zuck out of range :nein:
 
  • Technicolor TC4400 Docsis 3.1 Modem Info Thread Beitrag #2.207
Ja, den hohen Wert hat er auch gesehen, konnte (oder wollte?) da aber nix mehr machen, zumal seine App alles als OK nun dokumentierte. Die Leitung kommt wohl schon mit 45dB von der Strasse rein und das sei schon recht hoch. Normal wären da nur um die 40 und dann könnten Sie das besser pegelen. So genau kann ich es auch nicht wiedergeben, hab davon eh keinen Plan. Wie immer haben die ja alle keine Zeit und ruckzuck muss man zum nächsten Termin. Da wünscht man sich mal jemand mit Ruhe, der es als Ziel ansieht, einen perfekten Anschluss hinzukriegen. Aktuell kommen aber die gebuchten Speeds soweit an. Ich beobachte das.
 
  • Technicolor TC4400 Docsis 3.1 Modem Info Thread Beitrag #2.208
naja...meins lief seit 3 Wochen mit 52dB US..wohlgemerkt alle 4 US Channel (habe aber auch nur 8mbit Upload)...und die 8DS Channel haben auch alle über 1000 unkorrigierbare Fehler in 2 Wochen. Laut PYUR ist das normal. Wundern tut mich nix mehr. Da hat QT ja echt noch gute Werte :mussweg:
 
  • Technicolor TC4400 Docsis 3.1 Modem Info Thread Beitrag #2.209
Omg, ich glaub bei mir wird das nix mehr, ich verabschiede mich schon innerlich vom TC 4400,heute morgen hab ich bei der Hotline angerufen und gefragt warum das Modem noch nicht provisioniert war, ich war auf der Arbeit konnte nich solange reden.

Die Frau meinte das ich ein sonderfall sei, weil ich zweimal Kundengeräte provisiert habe,vorher hatte ich ja ne eigene 6490 fritte. Sie meinte es dauere nun nochmal 24-48h stand jetzt ist immer noch nix los hier, bin grad vom der Arbeit zuhause.

Sie meinte es könnte sein das es nicht funktioniert:(

Weiß jetzt nicht was ich machen soll. Es wird sich angeblich noch jemand melden morgen oder übermorgen
 
  • Technicolor TC4400 Docsis 3.1 Modem Info Thread Beitrag #2.210
Die Frau meinte das ich ein sonderfall sei, weil ich zweimal Kundengeräte provisiert habe,vorher hatte ich ja ne eigene 6490 fritte. Sie meinte es dauere nun nochmal 24-48h stand jetzt ist immer noch nix los hier, bin grad vom der Arbeit zuhause.

Sie meinte es könnte sein das es nicht funktioniert:(
So ein Schwachsinn, lass Dich von der Frau nicht auf den Arm nehmen :wand:
 
  • Technicolor TC4400 Docsis 3.1 Modem Info Thread Beitrag #2.211
Also nochmal per chat probieren?
 
  • Technicolor TC4400 Docsis 3.1 Modem Info Thread Beitrag #2.212
Doppelpost
 
  • Technicolor TC4400 Docsis 3.1 Modem Info Thread Beitrag #2.214
Ich beobachte das.

Eben ist es schon soweit. Plötzlich offline, im Log die Zeilen anbei und jetzt nur noch 1 US Kanal mit 51,8 dBmV :wand:

May 28 13:19:08 2018 Critical (3) "Unicast Ranging Received Abort Response - Re-initializing MAC;CM-MAC=XX:XX:XX:XX:XX:XX;CMTS-MA...
May 28 13:19:30 2018 Critical (3) "No Ranging Response received - T3 time-out;CM-MAC=XX:XX:XX:XX:XX:XX;CMTS-MAC=c4:64:13:f9:d0:60...

Vermutlich kann ich dann alsbald den nächsten Technikertermin eintüten :winken:
 

Anhänge

  • up-new.jpeg
    up-new.jpeg
    17,4 KB · Aufrufe: 1.285
  • Technicolor TC4400 Docsis 3.1 Modem Info Thread Beitrag #2.215
Vermutlich kann ich dann alsbald den nächsten Technikertermin eintüten
Jo, da ist die Einstrahlung wohl schneller gekommen, als erwartet :zwinker:
Hatte ich Dir ja vorhin schon gesagt, dass das dann eng wird :winken:
 
  • Technicolor TC4400 Docsis 3.1 Modem Info Thread Beitrag #2.216
Vermutlich lag schon die ganze Zeit eine Einstrahlung vor, daher auch schon der hohe Powerlevel. War bei mir auch so.
 
  • Technicolor TC4400 Docsis 3.1 Modem Info Thread Beitrag #2.217
Also ich hab aufgrund guter Chaterfahrung nun es nochmal probiert. Es ist heute morgen was in gang gesetzt worden was der MA nicht ändern konnte. Er meinte bis morgen ist das abgearbeitet und es würde dann laufen. Ich hoffe es sehr....
 
  • Technicolor TC4400 Docsis 3.1 Modem Info Thread Beitrag #2.218

Anhänge

  • um.JPG
    um.JPG
    22,5 KB · Aufrufe: 1.110
  • Technicolor TC4400 Docsis 3.1 Modem Info Thread Beitrag #2.219
Oh, hab nun mal die fritte wieder normal angeschlossen, die funktioniert erstmal noch,ist das fürs provisionieren nun nicht gut oder soll ichs laufen lassen solange es geht?
 
  • Technicolor TC4400 Docsis 3.1 Modem Info Thread Beitrag #2.220
Antwort von der BNA kam heute, Vodafone hatte zuvor die Teilnahme an dem Streitschlichtungsverfahren abgehlehnt, um den Sachverhalt "mit dem Kunden direkt zu klären". Also bleibt nur noch der Rechtsweg. Ob es mir das wert ist, weiß ich noch nicht, und ich weiß auch nicht, wie es sich mit dieser nachträglichen(!) Änderung der Schnittstellenbeschreibung verhält. Die Ablehnungen zuvor waren in jedem Fall Ordnungswidirgkeiten.
 
  • Technicolor TC4400 Docsis 3.1 Modem Info Thread Beitrag #2.221
Oh, hab nun mal die fritte wieder normal angeschlossen, die funktioniert erstmal noch,ist das fürs provisionieren nun nicht gut oder soll ichs laufen lassen solange es geht?
Las laufen, solange es geht :winken:
 
  • Technicolor TC4400 Docsis 3.1 Modem Info Thread Beitrag #2.222
Antwort von der BNA kam heute, Vodafone hatte zuvor die Teilnahme an dem Streitschlichtungsverfahren abgehlehnt, um den Sachverhalt "mit dem Kunden direkt zu klären".
Wie jetzt :confused:
So einfach zieht VF sich aus der Affäre ?
 
  • Technicolor TC4400 Docsis 3.1 Modem Info Thread Beitrag #2.223
Antwort von der BNA kam heute, Vodafone hatte zuvor die Teilnahme an dem Streitschlichtungsverfahren abgehlehnt, um den Sachverhalt "mit dem Kunden direkt zu klären".
Wie jetzt :confused:
So einfach zieht VF sich aus der Affäre ?

Korrekt. Tatsächlich besteht keine Pflicht auf Teilnahme an der Schlichtung und das Schreiben von VF selbst ist nichts als eine blanke Wiederholung von Bekanntem, deshalb bliebe nur der Rechtsweg.
 
  • Technicolor TC4400 Docsis 3.1 Modem Info Thread Beitrag #2.224
Omg, ich glaub bei mir wird das nix mehr, ich verabschiede mich schon innerlich vom TC 4400,heute morgen hab ich bei der Hotline angerufen und gefragt warum das Modem noch nicht provisioniert war, ich war auf der Arbeit konnte nich solange reden.

Die Frau meinte das ich ein sonderfall sei, weil ich zweimal Kundengeräte provisiert habe,vorher hatte ich ja ne eigene 6490 fritte. Sie meinte es dauere nun nochmal 24-48h stand jetzt ist immer noch nix los hier, bin grad vom der Arbeit zuhause.

Sie meinte es könnte sein das es nicht funktioniert:(

Weiß jetzt nicht was ich machen soll. Es wird sich angeblich noch jemand melden morgen oder übermorgen


Kannst mir gerne mal schreiben und den Sachverhalt darlegen, ich kann mir das gerne mal anschauen.
Bitte Kundennummer und Adresse beifügen. :super:
 
  • Technicolor TC4400 Docsis 3.1 Modem Info Thread Beitrag #2.225
Antwort von der BNA kam heute, Vodafone hatte zuvor die Teilnahme an dem Streitschlichtungsverfahren abgehlehnt, um den Sachverhalt "mit dem Kunden direkt zu klären".
Wie jetzt :confused:
So einfach zieht VF sich aus der Affäre ?
Die Frage muss doch eher lauten: So einfach zieht die BNA sich aus der Affäre? Aber ich hatte ja schon erwartet, dass dabei nichts herumkommt und die BNA nichts tun wird.
 
Thema:

Technicolor TC4400 Docsis 3.1 Modem Info Thread

Technicolor TC4400 Docsis 3.1 Modem Info Thread - Ähnliche Themen

Netgear CM2000 (US Modem): Dank DOCSIS 3.1 und dem dortigen Wegfall der Unterscheidung zwischen DOCSIS und EuroDOCSIS sind einige Modems aus den USA durchaus im Vodafone...
Unitymedia Technicolor CGA4233 Docsis 3.1 Router Info Tread: Wie auch schon bei TC4400 dient dieser Thread zum Sammeln von Informationen zum Technicolor CGA4233. Default login: user / VTmgQapcEUaE Link zum...
Unitymedia Kabelmodem Arris CM8200B: Moin, Das Arris CM8200B wurde hier schon gelegentlich erwähnt, aber nie vertiefend. Da bei mir seit ein paar Tagen eines herumsteht starte ich...
Unitymedia Cisco EPC3208 verliert immer Verbindung -> Vodafone Station als Lösung? (DOCSIS 3.1 schuld?): Nabend! Ich habe seit 25.11. plötzlich ein massives Problem mit meinem Anschluß, und könnte etwas Aufklärung von Insidern brauchen bevor ich zur...
Unitymedia [Q] Probleme mit Bridge Network Model Virtualisierungsserver: Hallo! Ich habe eine Virtualisierungsplattform mit Web-Oberfläche (Proxmox VE 3.3) aufgesetzt und den Server direkt mit dem Kabel-Gateway TC7200...
Oben